VUMAT: rotating cylinder

This problem contains basic test cases for one or more Abaqus elements and features.

This page discusses:

ProductsAbaqus/Explicit

Elements tested

CPE4R

C3D8R

M3D4R

S4R

Features tested

Large deformation kinematics, elastic-plastic material with strain hardening, user material, multi-point constraints.

Problem description

The rotating cylinder problem was proposed by Longcope and Key (1977) as a means of exercising finite rotation algorithms. In this problem a cylinder with an initial angular velocity of 4000 rad/sec and a zero initial stress state is modeled. (This is physically impossible because the body forces would generate a stress field under this angular velocity. Nevertheless, these initial conditions are acceptable, since this is merely a numerical experiment.) The inside of the cylinder is subjected to an instantaneous application of a pressure of 67.3 MPa (9760 psi).

The elastic material properties are defined as Young's modulus of 71 GPa (1.03 × 107 psi), Poisson's ratio of 0.3333, and density of 2680 kg/m3 (2.508 × 10−4 lb sec2 in−4). An isotropic hardening plasticity model is used with an initial yield of 286 MPa (4.15 × 104 psi) and constant hardening modulus of 3.565 GPa (5.17 × 105 psi).

Only one-quarter of the ring is modeled using a constraint equation and a multi-point constraint to enforce the repeated symmetry boundary condition.

A local cylindrical coordinate system is defined at each material point of the mesh.

Results and discussion

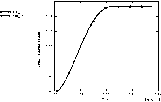
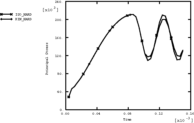
The first case considered is a two-dimensional model using CPE4R elements. In this case two meshes are defined in the same problem, as shown in Figure 1. The lower mesh in Figure 1 uses the built-in Mises isotropic hardening plasticity model. The upper mesh in Figure 1 employs user subroutine VUMAT with the kinematic hardening Mises model described in Models for Metals Subjected to Cyclic Loading. Figure 2 shows the time history of the maximum principal stress in the two-dimensional model for both cases. Figure 3 shows the time history of equivalent plastic strain in the two-dimensional model for both cases. Figure 4 shows the energy histories in the two-dimensional model. The energy history is particularly important in this analysis because it demonstrates that there is no energy lost in the enforcement of multi-point constraints.

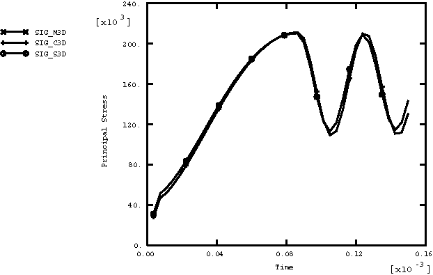
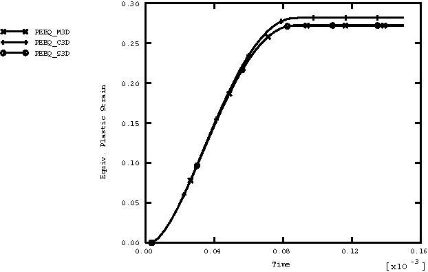
The second case is a three-dimensional representation of the same problem using shells, membranes, and brick elements to model the ring with suitable boundary conditions to reproduce closely the original two-dimensional model. The built-in Mises isotropic hardening plasticity model is used. The meshes for the three-dimensional case are shown in Figure 5. Figure 6 shows the time history of the maximum principal stress in the three-dimensional model for both cases. Figure 7 shows the time history of the equivalent plastic strain in the three-dimensional model for both cases. Figure 8 shows the energy histories in the three-dimensional model. Note that each energy quantity is summed over the two cases.

The results compare well with those obtained by Longcope and Key (1977).

References

  1. Longcope, D. B., and S. W. Key, On the Verification of Large Deformation Inelastic Dynamic Calculations through Experimental Comparisons and Analytic Solutions, PVP-PB-023, American Society of Mechanical Engineers, 1977.

Figures

Figure 1. Mesh for the two-dimensional case.

Figure 2. Maximum principal stress versus time for the two-dimensional case.

Figure 3. Equivalent plastic strain versus time for the two-dimensional case.

Figure 4. Energy histories for the two-dimensional case.

Figure 5. Meshes for the three-dimensional case.

Figure 6. Maximum principal stress versus time for the three-dimensional case.

Figure 7. Equivalent plastic strain versus time for the three-dimensional case.

Figure 8. Energy histories for the three-dimensional case.