Rotating drum mixers and tumbling mills are used for grinding, mixing, and
drying of ore and granular materials. Such applications can be found in a wide
range of industrial sectors such as mining. Several factors (including shape,
size, density, and contact stiffness of particles; friction; adhesion between
particles, speed of rotation; and tilt of the drum axis) influence the level of
mixing that will be achieved in a given amount of time. These factors also
influence the amount of energy required to operate the mixer. The discrete
element method (DEM) is a useful tool in
understanding the effects of these factors on the mixing process. This example
demonstrates the use of DEM to analyze mixing
of granular media with nonadhesive as well as adhesive contact behavior.
Geometry
Figure 1
shows the drum geometry. The drum length, L, is 760 mm;
the drum outer diameter, ,
is 620 mm; and the drum mouth diameter, ,
is 315 mm. The interior of the drum has five equally spaced baffles to aid the
mixing process. The baffles taper from the rear to the front of the drum. The
wall of the drum is hollow; and the drum inner radius, R,
is 300 mm. The axis of the drum is inclined at an angle of 30°. Although this
laboratory size drum mixer is not of the scale of an industrial mixer, it is
sufficiently large to demonstrate the mixing process.
To analyze nonadhesive contact between particles, the granular media consist
of two batches of spherical limestone pellets. The first batch has a mass of
16.3 kg, and each pellet has a radius of 5 mm. The second batch has a mass of
19.3 kg, and each pellet has a radius of 6 mm. To analyze adhesive contact
between particles, the granular media consist of two batches of spherical
polyethylene pellets. The first batch has a mass of 9.8 kg, and each pellet has
a radius of 5 mm. The second batch has a mass of 11.2 kg, and each pellet has a
radius of 6 mm.
Materials
The drum is made of steel with a Young's modulus of 2.08 × 105
N/mm2, density of 7850 × 10–9 kg/mm3, and
Poisson's ratio of 0.3.
Boundary conditions and loading
Mixing of particles in a rotating drum is influenced by the drum radius, the
speed of rotation, and the degree of filling of the drum. At slow rotating
speeds, particles tend to slip and slump along the walls of the drum; while at
very high speeds, centrifuging occurs, pushing the particles up along the drum
wall. Rolling and cascading of particles in a rotating drum results in good
mixing. The Froude number specifies the tendency of the particles to roll and
cascade during mixing in a rotating drum. The Froude number is defined as
,
where
is the angular speed of the drum, R is the drum radius,
and g is the acceleration due to gravity. A Froude number
in the range of 0.001–0.1 is recommended for mixing operations. In this example
the reference node of the drum is given a rotating speed of slightly less than
0.25 revolutions per second, which results in a Froude number of 0.068. The two
batches of pellets together occupy less than half of the interior volume of the
drum (i.e., the degree of filling is less than 0.5). The entire model in this
example is subjected to gravity loading.
Interactions
Two different contact conditions between particles are considered:
nonadhesive contact between limestone pellets, and adhesive contact between
polyethylene pellets. Contact between particles and the drum is nonadhesive.
The friction coefficient for contact between particles is 0.35. For contact
between particles and the drum wall, the friction coefficient is 0.3.
Abaqus modeling approaches and simulation techniques
For this analysis the drum is assumed to be a rigid body. It is meshed with
shell elements and made rigid by assigning it to a rigid body. A CARDAN connection type connector element that is aligned with the
drum axis is attached to the reference node of the drum. The connector element
is used to apply the torque to rotate the drum. The limestone and polyethylene
pellets are modeled using PD3D elements. The particles are spherical in shape. The model used in
this example has 8556 PD3D elements with a 6 mm radius and 12478 PD3D elements with a 5 mm radius.
Summary of analysis cases
Case 1
Nonadhesive contact between limestone
pellets.
Case 2
Adhesive contact between polyethylene
pellets.
Mesh design
It is very difficult to start such a simulation with the particles
positioned precisely in an equilibrated configuration. A common
DEM modeling technique is used for this
analysis in which arrays of particles are initially positioned in the model and
allowed to settle under gravity during the first analysis step with no other
loading. The desired loading response is studied in subsequent steps.
In this case, layers of nonoverlapping particles of both sizes are
introduced inside the drum. The two batches of particles are initially
positioned next to each other and at a certain initial height from the interior
wall of the drum. Next, these two batches of particles are dropped inside the
drum and allowed to settle under gravity. This is done via a dummy step of 0.5
seconds duration in which only the gravity load is active. The drum is held
fixed in its initial position during this step. At the end of the gravity
settling step, we have the two batches of particles in a compacted stable
configuration at the lower part of the drum. The cost of gravity settling is an
additional overhead incurred in most DEM
analyses.
Boundary conditions
An encastre boundary condition is applied to the free end of the connector,
and all translational degrees of freedom of the reference point of the rigid
body are held fixed for the duration of the analysis.
Loads
A gravity load is applied to the model. An acceleration of −9800
mm/s2 is applied in the z-direction. Velocity
type connector motion with an amplitude is applied about the connector
component aligned with the drum axis. The other two connector components are
held fixed. Mass proportional damping is used in the analysis to reduce the
analysis noise. The total time period for the analysis, which includes gravity
settling and mixing, is 5.5 seconds.
Case 1 Nonadhesive contact between limestone pellets
Two batches of spherical limestone pellets are used to analyze nonadhesive
contact between particles.
Materials
Limestone has a Young's modulus of 2.0 × 104 N/mm2,
density of 2500 × 10–9 kg/mm3, and Poisson's ratio of
0.25.
Interactions
As discussed in
Discrete Element Method,
PD3D elements are rigid and the contact stiffness for interactions
between DEM particles can be tuned to reflect
the Hertz contact solution for contact between two elastic spheres (see
Timoshenko and Goodier, 1951; and
The Hertz contact problem).
The Hertz solution relating the contact force, F, to the
approach distance, ,
between remote points on two contacting spheres is
where
and
,
and ,
are the Young's modulus and Poisson's ratio of the two particles, respectively.
and
are the radii of the two particles, respectively.
The equation relating F and
was used to generate tabular force versus overclosure relationships for contact
between DEM particles. Different relationships
are used for different combinations of particle radii. In
Abaqus
force-overclosure tables are specified under tabular type pressure-overclosure
contact surface behavior since the particle contact area is unity.
A simpler alternative is to specify an approximate linear contact stiffness
over the range of
of interest. The Hertz contact stiffness is not linear because
F is not linearly dependent on .
The normal contact stiffness (or slope of the F vs.
curve) for a given value of indentation between particles is
In
Abaqus
the contact stiffness can be specified using a linear type pressure-overclosure
contact surface behavior. The maximum indentation
can be assumed to be a certain percentage of the particle radius (between 0.05
and 1.0 percent). Substituting a value such as
into the expression for K may provide a linear contact
stiffness that is adequately representative. For a given particle mass, a
larger contact stiffness would require a smaller time increment. For a slow
mixing process (i.e., the Froude number is at the low end of the mixing
operation range), it may be possible to get reasonably accurate results with a
lower contact stiffness and using larger time increments.
Case 2 Adhesive contact between polyethylene pellets
Two batches of spherical polyethylene pellets are used to analyze adhesive
contact between particles.
Materials
Polyethylene has a Young's modulus of 1.0 × 103 N/mm2,
density of 1400 × 10–9 kg/mm3, and Poisson's ratio of
0.3.
Interactions
The Johnson-Kendall-Roberts (JKR) adhesive
contact model discussed in
Discrete Element Method
is used for modeling adhesive contact between PD3D elements. The surface energy per unit area,
,
is used to specify adhesion between contacting particles; in this case,
= 50 J/m2. Increasing the value of
leads to stronger adhesive forces between particles. The
JKR model reduces to nonadhesive Hertz contact
for .
Nonadhesive contact between polyethylene pellets is modeled
(
= 0 J/m2) for comparison with adhesive contact results.
Discussion of results and comparison of cases
Figure 2
shows a series of deformed plots obtained at different times during the mixing
analysis of limestone pellets. The initially generated mesh can be seen in the
plot at 0.0 seconds. The configuration at the end of the gravity settling step
can be seen in the plot at 0.5 seconds. The remaining four plots show the
progress of the mixing process and the rolling and cascading of the particulate
media.
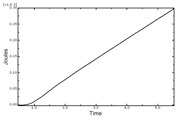
Figure 3
shows the total energy input to the mixing process as a function of time.
Figure 4
shows a comparison of the mixing process between the nonadhesive and adhesive
mixing of polyethylene pellets. A series of deformed plots obtained at
different times during the mixing analysis for the two conditions are
juxtaposed in the figure. The steel drum has been removed from the plots for
clarity. The left column of plots in
Figure 4
corresponds to nonadhesive contact, and the right column of deformed plots
corresponds to adhesive contact. The configuration at the end of the gravity
settling step can be seen in the plot at 0.5 seconds. The remaining five plots
show the progress of the mixing process. As can be seen from the figure,
adhesion reduces the level of mixing. Also, the rolling and cascading of the
particulate media that is observed in the modeling of nonadhesive contact for
the polyethylene pellets is absent for adhesive contact.
DEM adhesive drum mixing analysis using
polyethylene pellets.
References
Timoshenko, S., and J. N.
Goodier,Theory of Elasticity,
Second edition, McGraw-Hill, New York, 1951.
Figures
Figure 1. Mixer dimensions. Figure 2. Case 1: Snapshots of the mixing process for limestone pellets. Figure 3. Case 1: Energy input to the drum mixer. Figure 4. Case 2: Comparison of the mixing process for nonadhesive and adhesive
contact between particles.