Problem description
The block is a square of dimension 8 × 8 length units. Because of symmetry we need to consider only an octant, but we model a quarter for simplicity in generating the mesh.
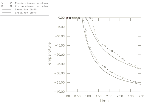
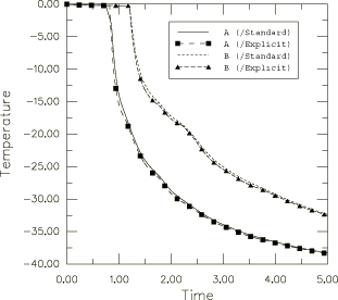
Severe latent heat effects involve moving boundary conditions (the freezing front), across which the spatial gradient of temperature, , is discontinuous. Simple finite elements, such as the linear and quadratic elements used in Abaqus, do not allow gradient discontinuities within an element, although they do allow such discontinuities between elements in the direction of the normal to their sides. Since the actual problem involves discontinuities along surfaces moving through the mesh, the best we can do with a fixed grid of simple elements is to use a fine mesh of lowest-order elements, thus providing a high number of gradient discontinuity surfaces. In Abaqus/Standard two-dimensional heat transfer elements (DS3 and DS4) and first-order coupled temperature-displacement elements (CPE4T and CPEG4T) are used to model the plate. The meshes used are coarse for the problem; but they suffice to give reasonable solutions and, thus, verify the capability. In practical cases a more refined model is recommended. In Abaqus/Explicit two- and three-dimensional, first-order coupled temperature-displacement elements (CPE4RT, C3D8RT, and SC8RT) are used to model the plate.




