Composite shell sections

This problem contains basic test cases for one or more Abaqus elements and features.

This page discusses:

ProductsAbaqus/Explicit

Elements tested

S4

S4R

S4RS

S4RSW

Features tested

Shell general section, composite laminate, orientation.

Problem description

There are three different options for defining a composite shell section within Abaqus/Explicit:

  1. A shell general section in which the user supplies the (constant) stiffness coefficients for the shell section in matrix form.

  2. A layered, elastic shell section, for which Abaqus/Explicit calculates a pre-integrated effective shell stiffness matrix. With this option the user defines the number of layers, the material properties for each layer, and the orientation in each layer. The material definition must be elastic to pre-integrate the shell stiffnesses. This option will print the matrix of effective stiffness coefficients that are calculated from the layered shell section.

  3. A numerically integrated shell section. The shell section definition for this case is basically the same as for option (b) above: the user defines the number of layers, the material properties for each layer, the orientation in each layer, and the number of integration points through the thickness of each layer. The material properties for this case may be nonlinear (e.g., plasticity may be used). If only elastic properties are used with a shell section, it is more efficient to use a general shell section as in option (b) above.

The purpose of this verification problem is to ensure that each of the different options for generating a shell section gives the same results for the same physical shell model. The test consists of six identical simply supported beams under uniform pressure loading. Two sets of analyses are performed: one in which the beams are modeled with S4R elements and the other in which the beams are modeled with S4RS elements. Due to symmetry only one-half of each beam is considered. Six cases are studied for each element type:

  1. A sandwich beam modeled with the numerically integrated shell section. There are three linear elastic layers consisting of an aluminum layer (thickness 8 mm) sandwiched between two steel layers (thickness 6 mm). Each layer has three material points through the thickness.

  2. The same sandwich beam as Case 1, modeled with a composite general shell section.

  3. The same sandwich beam as Case 1, modeled with a general shell section, where the stiffness matrix (21 coefficients) of the shell section is given with values corresponding to the pre-integrated Case 2.

  4. The same as Case 1 except that an in-plane orientation angle of 90° is applied to each layer. Since the material is isotropic, the orientation should not affect the final results.

  5. The same as Case 2 except that an in-plane orientation angle of 90° is applied to each layer.

  6. The same as Case 3 except that an orientation is applied to the whole section. The in-plane orientation is defined with the local node numbers.

Results and discussion

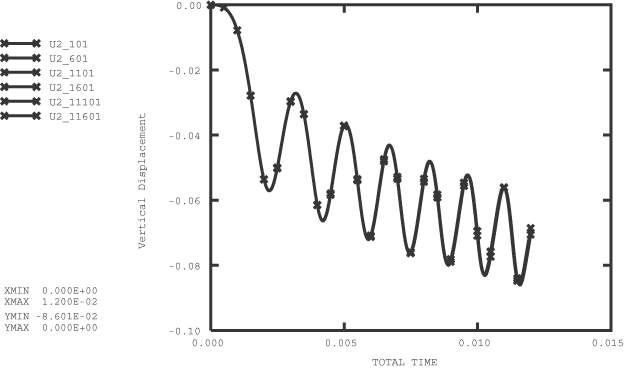
Figure 1 shows the contour plots of section moment SM1 on the deformed geometry for Cases 1 through 5 and section moment SM2 for Case 6 when the analysis is performed using the S4R element. Figure 2 shows the histories of the central deflection of the beam for all six cases. Figure 3 shows the histories of the section force SF1 (membrane force) at the center of the beams. Note that in Abaqus/Explicit any orientation option will not affect the output of section forces as they will always be in the default shell system. The stresses and strains are output to the selected results file in the local material coordinate system. The directions of the local coordinate system for these quantities are automatically written to the results file.

Figure 4 through Figure 6 show the analogous results for the analysis performed using S4RS elements.

Input files

shellsect.inp

S4R model with a shell section.

shellgensect.inp

S4R model with a general shell section.

shellsect_s4rs.inp

S4RS model with a shell section.

shellgensect_s4rs.inp

S4RS model with a general shell section.

shellsect_s4.inp

S4 model with a shell section included for the purpose of testing performance only.

shellgensect_s4.inp

S4 model with a general shell section included for the purpose of testing performance only.

shellgensect_s4rsw.inp

S4RSW model with a general shell section included for the purpose of testing performance only.

Figures

Figure 1. Contours of bending moment at 12 milliseconds (S4R model).

Figure 2. Histories of the central deflections (S4R model).

Figure 3. Histories of the membrane forces (S4R model).

Figure 4. Contours of bending moment at 12 milliseconds (S4RS model).

Figure 5. Histories of the central deflections (S4RS model).

Figure 6. Histories of the membrane forces (S4RS model).